首页
产品方案
核心量子材料
电子级高纯金刚石
单NV色心量子金刚石
高密度NV色心量子金刚石
超高密度NV色心量子金刚石
表层NV色心量子金刚石
NV色心纳米金刚石
NV色心金刚石压砧
SiV色心量子金刚石
黑磷
量子精密仪器
技术与创新
探索晶创元
加入我们
联系我们
Single NV Diamond
单NV色心量子金刚石
首页
/
产品列表
/
单NV色心量子金刚石
单NV色心量子金刚石
产品介绍
ViQium
TM
单NV色心量子金刚石系列产品具有高自旋相干、高光学相干、高透光性、高Contrast、100/110/111 晶向切割等优势。广泛应用于量子计算研究、量子网络研究、量子模拟、超高空间分辨率的量子传感/磁探测/电流探测、核磁共振单分子结构探测等多种应用场景。
性能优势
单NV色心
高自旋相干
高光学相干
高透光性
高Contrast
111晶向切割
100晶向切割
110晶向切割
低荧光
超高硬度
立即下载
应用场景
量子计算研究
量子网络研究
与13C核自旋联合应用于量子模拟
超空间高分辨率的量子传感,磁探测,电流探测
核磁共振单分子结构探测
商用NV色心AFM设备上的探针
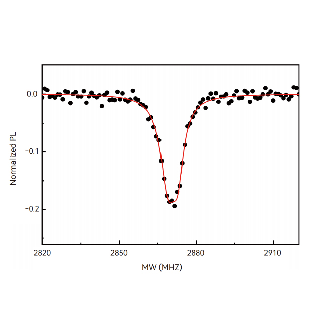
测试图谱
图. 单NV色心量子金刚石的连续波长ODMR光谱
图. 单NV色心量子金刚石的相干性质-T
2
图. 单NV色心量子金刚石的相干性质-T
2
*
本网站会在您的计算机上存储Cookies。这些Cookies用于收集您如何与我们的网站互动的信息,并帮助我们记住您。我们使用这些信息来改进您的浏览体验,同时用于数据分析,以了解我们在本网站和其他平台上访问情况。要了解更多关于我们使用的Cookies,请参阅我们的
隐私政策
。
拒绝
接受所有
姓名
电话
邮箱
单位
留言
点击提交