首页
产品方案
核心量子材料
电子级高纯金刚石
单NV色心量子金刚石
高密度NV色心量子金刚石
超高密度NV色心量子金刚石
表层NV色心量子金刚石
NV色心纳米金刚石
NV色心金刚石压砧
SiV色心量子金刚石
黑磷
量子精密仪器
技术与创新
探索晶创元
加入我们
联系我们
NV Diamond Anvil
NV色心金刚石压砧
首页
/
产品列表
/
NV色心金刚石压砧
NV色心金刚石压砧
产品介绍
ViQium
TM
NV色心金刚石压砧系列产品具有直接、高分辨率的压力传感、多物理场同时探测、原位磁场测量等优势。广泛应用于极端高压条件下材料磁信号探测、地球与行星科学、新物态探索等应用场景。
性能优势
直接、高分辨率的压力传感
多物理场同时探测
原位磁场测量
立即下载
应用场景
极端高压条件下的磁次高压超导
量子材料
地球与行星科学
新物态探索
测试图谱
图. NV色心金刚石压砧的共聚焦荧光图
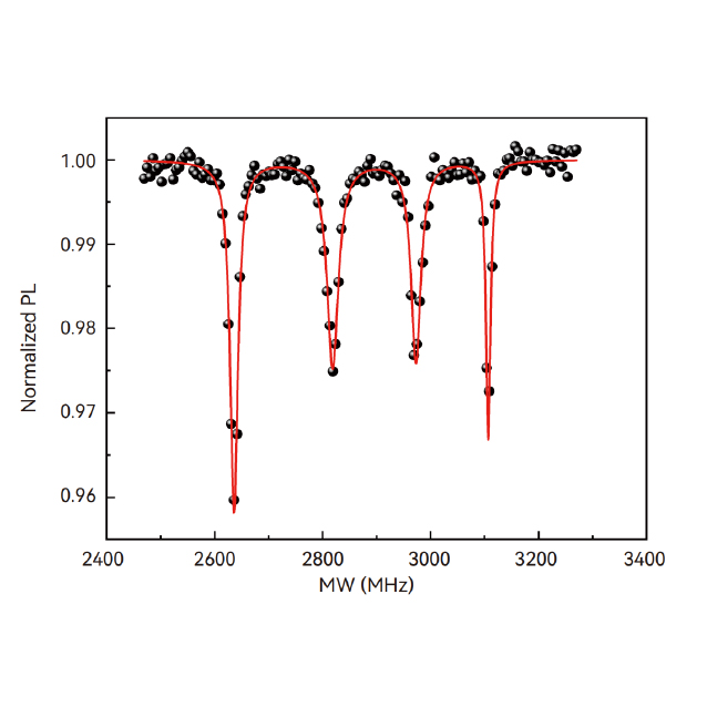
图. NV色心金刚石压砧的连续波长ODMR光谱
图. NV色心金刚石压砧的荧光光谱
本网站会在您的计算机上存储Cookies。这些Cookies用于收集您如何与我们的网站互动的信息,并帮助我们记住您。我们使用这些信息来改进您的浏览体验,同时用于数据分析,以了解我们在本网站和其他平台上访问情况。要了解更多关于我们使用的Cookies,请参阅我们的
隐私政策
。
拒绝
接受所有
姓名
电话
邮箱
单位
留言
点击提交
文件下载
微信中无法直接下载,请点击文件名或复制链接后在浏览器中打开
复制链接
关闭
已复制到剪贴板
基本
文件
流程
错误
SQL
调试
请求信息 : 2026-05-02 02:07:09 HTTP/1.1 GET : https://www.viqiumtech.com/material/107.html
运行时间 : 0.367400s [ 吞吐率:2.72req/s ] 内存消耗:475.01kb 文件加载:193
查询信息 : 0 queries
缓存信息 : 0 reads,0 writes
/data/user/htdocs/public/index.php ( 1.34 KB )
/data/user/htdocs/vendor/autoload.php ( 0.73 KB )
/data/user/htdocs/vendor/composer/autoload_real.php ( 1.63 KB )
/data/user/htdocs/vendor/composer/platform_check.php ( 0.90 KB )
/data/user/htdocs/vendor/composer/ClassLoader.php ( 15.99 KB )
/data/user/htdocs/vendor/composer/autoload_static.php ( 9.77 KB )
/data/user/htdocs/vendor/topthink/think-helper/src/helper.php ( 8.64 KB )
/data/user/htdocs/vendor/topthink/think-orm/stubs/load_stubs.php ( 0.16 KB )
/data/user/htdocs/vendor/topthink/framework/src/think/Exception.php ( 1.69 KB )
/data/user/htdocs/vendor/topthink/framework/src/think/Facade.php ( 2.71 KB )
/data/user/htdocs/vendor/symfony/polyfill-mbstring/bootstrap.php ( 8.26 KB )
/data/user/htdocs/vendor/symfony/polyfill-mbstring/bootstrap80.php ( 9.78 KB )
/data/user/htdocs/vendor/ralouphie/getallheaders/src/getallheaders.php ( 1.60 KB )
/data/user/htdocs/vendor/symfony/deprecation-contracts/function.php ( 0.99 KB )
/data/user/htdocs/vendor/symfony/polyfill-iconv/bootstrap.php ( 3.85 KB )
/data/user/htdocs/vendor/symfony/polyfill-intl-grapheme/bootstrap.php ( 2.34 KB )
/data/user/htdocs/vendor/symfony/polyfill-intl-grapheme/bootstrap80.php ( 2.83 KB )
/data/user/htdocs/vendor/symfony/polyfill-intl-normalizer/bootstrap.php ( 0.73 KB )
/data/user/htdocs/vendor/symfony/polyfill-intl-normalizer/bootstrap80.php ( 0.72 KB )
/data/user/htdocs/vendor/symfony/polyfill-php80/bootstrap.php ( 1.50 KB )
/data/user/htdocs/vendor/symfony/polyfill-php83/bootstrap.php ( 1.93 KB )
/data/user/htdocs/vendor/symfony/polyfill-php83/bootstrap81.php ( 0.93 KB )
/data/user/htdocs/vendor/voku/portable-utf8/bootstrap.php ( 0.15 KB )
/data/user/htdocs/vendor/voku/portable-utf8/src/voku/helper/Bootup.php ( 2.59 KB )
/data/user/htdocs/vendor/voku/portable-utf8/src/voku/helper/UTF8.php ( 458.45 KB )
/data/user/htdocs/vendor/guzzlehttp/guzzle/src/functions_include.php ( 0.16 KB )
/data/user/htdocs/vendor/guzzlehttp/guzzle/src/functions.php ( 5.54 KB )
/data/user/htdocs/vendor/symfony/var-dumper/Resources/functions/dump.php ( 0.97 KB )
/data/user/htdocs/vendor/topthink/framework/src/think/App.php ( 15.00 KB )
/data/user/htdocs/vendor/topthink/framework/src/think/Container.php ( 15.45 KB )
/data/user/htdocs/vendor/psr/container/src/ContainerInterface.php ( 1.02 KB )
/data/user/htdocs/app/provider.php ( 0.24 KB )
/data/user/htdocs/vendor/topthink/framework/src/think/Http.php ( 6.04 KB )
/data/user/htdocs/vendor/topthink/think-helper/src/helper/Str.php ( 7.51 KB )
/data/user/htdocs/vendor/topthink/framework/src/think/Env.php ( 4.68 KB )
/data/user/htdocs/app/common.php ( 14.67 KB )
/data/user/htdocs/vendor/topthink/framework/src/helper.php ( 18.47 KB )
/data/user/htdocs/vendor/topthink/framework/src/think/Config.php ( 5.54 KB )
/data/user/htdocs/config/app.php ( 1.15 KB )
/data/user/htdocs/vendor/topthink/framework/src/think/facade/Env.php ( 1.67 KB )
/data/user/htdocs/config/buildadmin.php ( 3.34 KB )
/data/user/htdocs/config/cache.php ( 0.80 KB )
/data/user/htdocs/config/console.php ( 0.23 KB )
/data/user/htdocs/config/cookie.php ( 0.56 KB )
/data/user/htdocs/config/database.php ( 2.26 KB )
/data/user/htdocs/config/filesystem.php ( 0.63 KB )
/data/user/htdocs/config/jump.php ( 0.24 KB )
/data/user/htdocs/config/lang.php ( 0.87 KB )
/data/user/htdocs/config/log.php ( 1.38 KB )
/data/user/htdocs/config/middleware.php ( 0.19 KB )
/data/user/htdocs/config/route.php ( 1.54 KB )
/data/user/htdocs/config/session.php ( 0.57 KB )
/data/user/htdocs/config/terminal.php ( 5.17 KB )
/data/user/htdocs/config/throttle.php ( 1.93 KB )
/data/user/htdocs/config/trace.php ( 0.34 KB )
/data/user/htdocs/config/upload.php ( 0.88 KB )
/data/user/htdocs/config/view.php ( 1.04 KB )
/data/user/htdocs/app/event.php ( 0.24 KB )
/data/user/htdocs/vendor/topthink/framework/src/think/Event.php ( 7.58 KB )
/data/user/htdocs/app/service.php ( 0.24 KB )
/data/user/htdocs/app/AppService.php ( 0.37 KB )
/data/user/htdocs/vendor/topthink/framework/src/think/Service.php ( 1.64 KB )
/data/user/htdocs/app/common/service/moduleService.php ( 0.89 KB )
/data/user/htdocs/app/admin/library/module/Server.php ( 21.83 KB )
/data/user/htdocs/extend/bd/service/cmsService.php ( 1.17 KB )
/data/user/htdocs/vendor/topthink/framework/src/think/facade/Config.php ( 1.37 KB )
/data/user/htdocs/extend/bd/config/slcms.php ( 0.11 KB )
/data/user/htdocs/extend/bd/common.php ( 30.63 KB )
/data/user/htdocs/app/Request.php ( 0.54 KB )
/data/user/htdocs/vendor/topthink/framework/src/think/Request.php ( 55.72 KB )
/data/user/htdocs/vendor/topthink/framework/src/think/Lang.php ( 7.24 KB )
/data/user/htdocs/vendor/topthink/framework/src/lang/zh-cn.php ( 13.70 KB )
/data/user/htdocs/vendor/topthink/framework/src/think/initializer/Error.php ( 3.31 KB )
/data/user/htdocs/vendor/topthink/framework/src/think/initializer/RegisterService.php ( 1.33 KB )
/data/user/htdocs/vendor/services.php ( 0.21 KB )
/data/user/htdocs/vendor/topthink/framework/src/think/service/PaginatorService.php ( 1.52 KB )
/data/user/htdocs/vendor/topthink/framework/src/think/service/ValidateService.php ( 0.99 KB )
/data/user/htdocs/vendor/topthink/framework/src/think/service/ModelService.php ( 1.75 KB )
/data/user/htdocs/vendor/topthink/think-migration/src/Service.php ( 1.94 KB )
/data/user/htdocs/vendor/topthink/think-multi-app/src/Service.php ( 1.08 KB )
/data/user/htdocs/vendor/topthink/think-trace/src/Service.php ( 0.77 KB )
/data/user/htdocs/vendor/topthink/framework/src/think/Middleware.php ( 6.72 KB )
/data/user/htdocs/vendor/topthink/framework/src/think/initializer/BootService.php ( 0.77 KB )
/data/user/htdocs/vendor/topthink/think-orm/src/Paginator.php ( 11.71 KB )
/data/user/htdocs/vendor/topthink/framework/src/think/Validate.php ( 53.49 KB )
/data/user/htdocs/vendor/topthink/think-orm/src/Model.php ( 26.86 KB )
/data/user/htdocs/vendor/topthink/think-orm/src/model/concern/Attribute.php ( 19.12 KB )
/data/user/htdocs/vendor/topthink/think-orm/src/model/concern/RelationShip.php ( 26.44 KB )
/data/user/htdocs/vendor/topthink/think-orm/src/model/concern/ModelEvent.php ( 2.58 KB )
/data/user/htdocs/vendor/topthink/think-orm/src/model/concern/TimeStamp.php ( 5.69 KB )
/data/user/htdocs/vendor/topthink/think-orm/src/model/concern/AutoWriteId.php ( 1.44 KB )
/data/user/htdocs/vendor/topthink/think-orm/src/model/concern/Conversion.php ( 10.85 KB )
/data/user/htdocs/vendor/topthink/think-helper/src/contract/Arrayable.php ( 0.10 KB )
/data/user/htdocs/vendor/topthink/think-helper/src/contract/Jsonable.php ( 0.14 KB )
/data/user/htdocs/vendor/topthink/framework/src/think/Db.php ( 2.88 KB )
/data/user/htdocs/vendor/topthink/think-orm/src/DbManager.php ( 8.33 KB )
/data/user/htdocs/vendor/topthink/framework/src/think/Log.php ( 6.28 KB )
/data/user/htdocs/vendor/topthink/framework/src/think/Manager.php ( 3.92 KB )
/data/user/htdocs/vendor/psr/log/src/LoggerTrait.php ( 2.69 KB )
/data/user/htdocs/vendor/psr/log/src/LoggerInterface.php ( 2.71 KB )
/data/user/htdocs/vendor/topthink/framework/src/think/Cache.php ( 4.92 KB )
/data/user/htdocs/vendor/psr/simple-cache/src/CacheInterface.php ( 4.71 KB )
/data/user/htdocs/vendor/topthink/think-helper/src/helper/Arr.php ( 18.13 KB )
/data/user/htdocs/vendor/topthink/framework/src/think/cache/driver/File.php ( 7.84 KB )
/data/user/htdocs/vendor/topthink/framework/src/think/cache/Driver.php ( 9.03 KB )
/data/user/htdocs/vendor/topthink/framework/src/think/contract/CacheHandlerInterface.php ( 1.99 KB )
/data/user/htdocs/vendor/topthink/framework/src/think/Console.php ( 22.80 KB )
/data/user/htdocs/app/middleware.php ( 0.30 KB )
/data/user/htdocs/vendor/topthink/framework/src/think/Pipeline.php ( 2.61 KB )
/data/user/htdocs/vendor/topthink/think-trace/src/TraceDebug.php ( 2.94 KB )
/data/user/htdocs/vendor/topthink/think-throttle/src/Throttle.php ( 7.62 KB )
/data/user/htdocs/vendor/topthink/think-throttle/src/throttle/CounterFixed.php ( 0.97 KB )
/data/user/htdocs/vendor/topthink/think-throttle/src/throttle/ThrottleAbstract.php ( 1.11 KB )
/data/user/htdocs/vendor/topthink/think-multi-app/src/MultiApp.php ( 7.06 KB )
/data/user/htdocs/app/index/common.php ( 1.17 KB )
/data/user/htdocs/app/index/lang/zh-cn.php ( 4.89 KB )
/data/user/htdocs/vendor/topthink/framework/src/think/Route.php ( 23.56 KB )
/data/user/htdocs/vendor/topthink/framework/src/think/route/RuleName.php ( 5.34 KB )
/data/user/htdocs/vendor/topthink/framework/src/think/route/Domain.php ( 1.25 KB )
/data/user/htdocs/vendor/topthink/framework/src/think/route/RuleGroup.php ( 19.91 KB )
/data/user/htdocs/vendor/topthink/framework/src/think/route/Rule.php ( 26.26 KB )
/data/user/htdocs/vendor/topthink/framework/src/think/route/RuleItem.php ( 9.78 KB )
/data/user/htdocs/app/index/route/cms.php ( 1.01 KB )
/data/user/htdocs/extend/bd/CmsRoute.php ( 1.65 KB )
/data/user/htdocs/vendor/topthink/framework/src/think/facade/Route.php ( 4.68 KB )
/data/user/htdocs/vendor/topthink/framework/src/think/facade/Cache.php ( 2.06 KB )
/data/user/htdocs/vendor/topthink/framework/src/think/facade/Cookie.php ( 1.48 KB )
/data/user/htdocs/vendor/topthink/framework/src/think/Cookie.php ( 6.07 KB )
/data/user/htdocs/vendor/topthink/think-orm/src/facade/Db.php ( 0.93 KB )
/data/user/htdocs/vendor/topthink/think-orm/src/db/connector/Mysql.php ( 4.33 KB )
/data/user/htdocs/vendor/topthink/think-orm/src/db/PDOConnection.php ( 51.60 KB )
/data/user/htdocs/vendor/topthink/think-orm/src/db/Connection.php ( 8.79 KB )
/data/user/htdocs/vendor/topthink/think-orm/src/db/ConnectionInterface.php ( 4.86 KB )
/data/user/htdocs/vendor/topthink/think-orm/src/db/builder/Mysql.php ( 16.56 KB )
/data/user/htdocs/vendor/topthink/think-orm/src/db/Builder.php ( 22.26 KB )
/data/user/htdocs/vendor/topthink/think-orm/src/db/BaseBuilder.php ( 27.29 KB )
/data/user/htdocs/vendor/topthink/think-orm/src/db/Query.php ( 15.19 KB )
/data/user/htdocs/vendor/topthink/think-orm/src/db/BaseQuery.php ( 41.48 KB )
/data/user/htdocs/vendor/topthink/think-orm/src/db/concern/TimeFieldQuery.php ( 7.43 KB )
/data/user/htdocs/vendor/topthink/think-orm/src/db/concern/AggregateQuery.php ( 3.26 KB )
/data/user/htdocs/vendor/topthink/think-orm/src/db/concern/ModelRelationQuery.php ( 19.29 KB )
/data/user/htdocs/vendor/topthink/think-orm/src/db/concern/ParamsBind.php ( 3.66 KB )
/data/user/htdocs/vendor/topthink/think-orm/src/db/concern/ResultOperation.php ( 6.98 KB )
/data/user/htdocs/vendor/topthink/think-orm/src/db/concern/Transaction.php ( 2.77 KB )
/data/user/htdocs/vendor/topthink/think-orm/src/db/concern/WhereQuery.php ( 18.79 KB )
/data/user/htdocs/vendor/topthink/think-orm/src/db/concern/JoinAndViewQuery.php ( 6.96 KB )
/data/user/htdocs/vendor/topthink/think-orm/src/db/concern/TableFieldInfo.php ( 2.46 KB )
/data/user/htdocs/vendor/topthink/framework/src/think/log/driver/File.php ( 6.19 KB )
/data/user/htdocs/vendor/topthink/framework/src/think/contract/LogHandlerInterface.php ( 0.86 KB )
/data/user/htdocs/vendor/topthink/framework/src/think/log/Channel.php ( 3.88 KB )
/data/user/htdocs/vendor/topthink/think-orm/src/db/CacheItem.php ( 4.36 KB )
/data/user/htdocs/vendor/topthink/framework/src/think/route/dispatch/Controller.php ( 3.75 KB )
/data/user/htdocs/vendor/topthink/framework/src/think/route/Dispatch.php ( 10.54 KB )
/data/user/htdocs/app/index/controller/cms/Detail.php ( 2.33 KB )
/data/user/htdocs/app/index/controller/cms/Base.php ( 15.80 KB )
/data/user/htdocs/app/BaseController.php ( 2.14 KB )
/data/user/htdocs/extend/bd/Jump.php ( 4.22 KB )
/data/user/htdocs/app/admin/model/Config.php ( 3.94 KB )
/data/user/htdocs/app/index/model/cms/Site.php ( 0.78 KB )
/data/user/htdocs/app/index/model/cms/Company.php ( 0.80 KB )
/data/user/htdocs/app/index/model/cms/Label.php ( 0.46 KB )
/data/user/htdocs/vendor/topthink/framework/src/think/facade/View.php ( 1.70 KB )
/data/user/htdocs/vendor/topthink/framework/src/think/View.php ( 4.39 KB )
/data/user/htdocs/vendor/topthink/think-view/src/Think.php ( 8.38 KB )
/data/user/htdocs/vendor/topthink/framework/src/think/contract/TemplateHandlerInterface.php ( 1.60 KB )
/data/user/htdocs/vendor/topthink/think-template/src/Template.php ( 46.61 KB )
/data/user/htdocs/vendor/topthink/think-template/src/template/driver/File.php ( 2.41 KB )
/data/user/htdocs/vendor/topthink/think-template/src/template/contract/DriverInterface.php ( 0.86 KB )
/data/user/htdocs/app/index/lang/zh-cn/cms/index.php ( 15.70 KB )
/data/user/htdocs/app/common/library/Auth.php ( 15.57 KB )
/data/user/htdocs/extend/ba/Auth.php ( 6.84 KB )
/data/user/htdocs/extend/ba/Random.php ( 1.56 KB )
/data/user/htdocs/vendor/topthink/framework/src/think/facade/Event.php ( 1.79 KB )
/data/user/htdocs/extend/ba/Filesystem.php ( 7.13 KB )
/data/user/htdocs/app/index/model/cms/User.php ( 1.21 KB )
/data/user/htdocs/vendor/topthink/think-multi-app/src/Url.php ( 7.52 KB )
/data/user/htdocs/vendor/topthink/framework/src/think/route/Url.php ( 14.07 KB )
/data/user/htdocs/app/index/model/cms/ContentSort.php ( 15.08 KB )
/data/user/htdocs/vendor/topthink/think-orm/src/db/Raw.php ( 1.22 KB )
/data/user/htdocs/vendor/topthink/think-orm/src/model/Collection.php ( 6.96 KB )
/data/user/htdocs/vendor/topthink/think-helper/src/Collection.php ( 17.13 KB )
/data/user/htdocs/app/index/model/cms/Content.php ( 35.96 KB )
/data/user/htdocs/vendor/topthink/framework/src/think/cache/TagSet.php ( 3.18 KB )
/data/user/htdocs/app/index/model/cms/Tags.php ( 0.69 KB )
/data/user/htdocs/app/common/model/Attachment.php ( 2.70 KB )
/data/user/htdocs/app/common/library/Upload.php ( 10.66 KB )
/data/user/htdocs/vendor/topthink/framework/src/think/facade/Lang.php ( 1.68 KB )
/data/user/htdocs/vendor/topthink/framework/src/think/exception/ErrorException.php ( 1.73 KB )
/data/user/htdocs/runtime/index/temp/e72db44f7c02dcb317650a0e25106488.php ( 39.74 KB )
/data/user/htdocs/app/index/model/cms/Form.php ( 3.55 KB )
/data/user/htdocs/vendor/topthink/framework/src/think/Response.php ( 8.65 KB )
/data/user/htdocs/vendor/topthink/framework/src/think/response/Html.php ( 0.97 KB )
/data/user/htdocs/vendor/topthink/think-trace/src/Html.php ( 4.49 KB )
0.374031s