首页
产品方案
核心量子材料
电子级高纯金刚石
单NV色心量子金刚石
高密度NV色心量子金刚石
超高密度NV色心量子金刚石
表层NV色心量子金刚石
NV色心纳米金刚石
NV色心金刚石压砧
SiV色心量子金刚石
黑磷
量子精密仪器
技术与创新
探索晶创元
加入我们
联系我们
Ensemble NV Diamond
高密度NV色心量子金刚石
首页
/
产品列表
/
高密度NV色心量子金刚石
高密度NV色心量子金刚石
产品介绍
ViQium
TM
高密度NV色心量子金刚石系列产品具有高密度NV色心、高相干、高荧光强度、高透光性、高激发效率、高荧光发射效率、高灵敏度、多种晶向切割等优势。广泛应用于高灵敏度精密探测 (电流信号探测/磁信号探测/温度信号探测)、量子模拟、固态激射器Maser、太赫兹源等应用场景。
性能优势
高密度NV色心
高相干
高荧光强度
高透光
高激发效率
高荧光发射效率
高灵敏度
多晶向切割
低荧光
超高硬度
立即下载
应用场景
高灵敏度精密探测(电流信号探测,磁信号探测,温度信号探测)
量子模拟
固态激射器Maser
太赫兹源
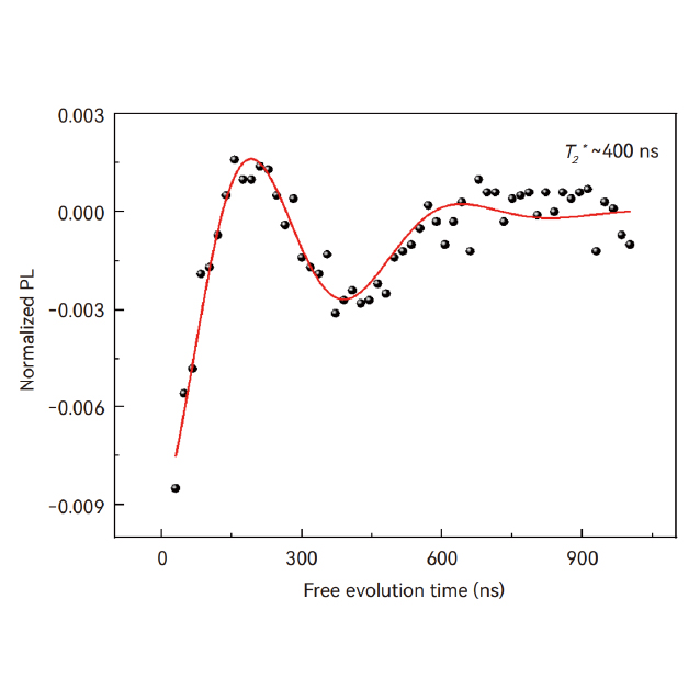
测试图谱
图. 高密度NV色心量子金刚石的连续波长ODMR光谱
图. 高密度NV色心量子金刚石的相干性质-T
2
图. 高密度NV色心量子金刚石的相干性质-T
2
*
本网站会在您的计算机上存储Cookies。这些Cookies用于收集您如何与我们的网站互动的信息,并帮助我们记住您。我们使用这些信息来改进您的浏览体验,同时用于数据分析,以了解我们在本网站和其他平台上访问情况。要了解更多关于我们使用的Cookies,请参阅我们的
隐私政策
。
拒绝
接受所有
姓名
电话
邮箱
单位
留言
点击提交