首页
产品方案
核心量子材料
电子级高纯金刚石
单NV色心量子金刚石
高密度NV色心量子金刚石
超高密度NV色心量子金刚石
表层NV色心量子金刚石
NV色心纳米金刚石
NV色心金刚石压砧
SiV色心量子金刚石
黑磷
量子精密仪器
技术与创新
探索晶创元
加入我们
联系我们
Shallow NV Diamond
表层NV色心量子金刚石
首页
/
产品列表
/
表层NV色心量子金刚石
表层NV色心量子金刚石
产品介绍
ViQium
TM
表层NV色心量子金刚石系列产品具有高空间分辨率等优势。广泛应用于电流宽场成像、宽场磁成像、超快非线性光子传感器等应用场景。
性能优势
高空间分辨率
低荧光
超高硬度
立即下载
应用场景
电流宽场成像
宽场磁成像
超快非线性光子传感器
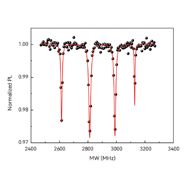
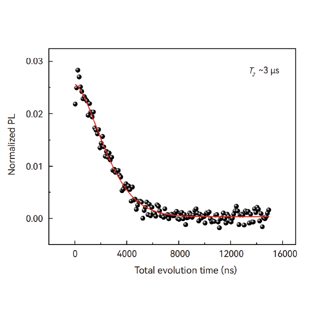
测试图谱
图. 表层NV色心量子金刚石的连续波长ODMR光谱
图. 表层NV色心量子金刚石的相干性质-T
2
图. 表层NV色心量子金刚石的相干性质-T
2
*
本网站会在您的计算机上存储Cookies。这些Cookies用于收集您如何与我们的网站互动的信息,并帮助我们记住您。我们使用这些信息来改进您的浏览体验,同时用于数据分析,以了解我们在本网站和其他平台上访问情况。要了解更多关于我们使用的Cookies,请参阅我们的
隐私政策
。
拒绝
接受所有
姓名
电话
邮箱
单位
留言
点击提交